乳腺細節對比度模體4.0
乳腺細節對比度模體4.0
實體廠家,非標訂制,一件起訂,134-7367-2973 微信同號
以下參數,僅供參考!!!更多詳情,請咨詢:134-7367-2973 微信同號
模體簡介 在乳腺X線攝影中 ,必須能夠區分對比度和直徑非常小的物體和背景。 因此 ,應該定期監測乳腺X線攝影設備的技術方面的質量 。這通常是通過測量X射線設備的物理參數和 觀察條件來實現的 。然而 ,質量控制的主要項目應該是確保從被檢查的組織到放射科醫生的信息傳遞 。 因此 ,應該監測圖像的信息內容。 模體通過檢測:對低對比度的物體, 以物體直徑的函數來確定成像系統的閾值對比度 。在3.2模體中 ,物體(金盤)直徑為0. 1 -3.2mm ,厚度為0.05 -1.6μm ,在標準條件 下(鉬陽極 、30μm鉬過濾 、28 kV )的輻射對比度范圍約為1-25%。 乳腺X線攝影(高對比度膠片-屏幕組合 ,數字乳腺X線攝影)圖像質量的不斷提高 ,使得有必要在較高對比度下顯示較低對比度的影像, 以及具有較高空間分辨率(較小物體) 的影像 。 為了便于對這些系統進行評估,對乳腺模體進行了修改 。 在乳腺 3 .4版本中, 金盤直徑范圍為
0 .06至2 .0mm ,厚度范圍為0.03至2.0μm ,在標準乳X線攝影曝光條件下 ,輻射對比度范圍約為0. 5-30%。由于自動評分消除了耗時的手動讀出 ,乳腺 4.0可以開發更多的金盤 。通過乳腺 4.0,可以更準確地確定被評估的乳腺攝影系統的對比度細節(CD)曲線。在相關領域有更多的金盤可用于心 理測量曲線擬合 。不僅增加了更多直徑, 而且對每個直徑的厚度也進行了優化 。金盤的數量從410個增加到672個 ,基于精確的生產工藝改進了公差規格。 在乳腺 4.0版本中 ,每種直徑都有自己的金磁盤厚度 。根據乳房X光攝影質量保證指南 ,厚度根據直徑進行優化 ,達到每個直徑的值黃金盤的直徑范圍是從0.08 到2.0021個步驟 。直徑為2.00mm的金圓盤的厚度為0.012μm -0. 105μm ,直徑為0.08 mm的金圓盤的厚度為0. 590μm -2.800μm ,全部采用16個步驟 。

乳腺模體4.0描述
如圖所示, 乳腺模體由一個具有不同厚度和直徑的金圓盤的鋁底座組成, 它連接在一個PMMA蓋上 。 建議使用帶有PMMA板的模體來模擬乳房的厚度 。 通常使用乳腺模體和4個10 mm厚度的PMMA板來模擬5厘米的乳房厚度 。 模體和PMMA板的尺寸符合標準的乳房x線檢查尺寸( 180 x 240mm) 。建議使用厚度精度為±值為1%的 板,以減少衰減差異。 對于與自動讀出軟件一起使用 ,乳腺模體只使用沒有任何標記的PMMA板。

3. 鋁基
鋁基材由1050( 99. 5%純度的鋁) ,厚度為0. 5 mm構成。所述底座基本已經拋光黑色陽極氧化膜 。 通過蒸發技術 ,將不同厚度和直徑的金箔( 99.99 %純金)附著在底座上。 金箔排列在一個包含16行和 21列的矩陣中 。在一個柱內 ,金箔的直徑是一定的 ,其厚度呈指數增長 。 由于X射線系統的對比度細節曲線的性質, 厚度步驟被選擇得zui大 。 在金箔蒸發過程中 ,鋁板覆蓋著一個所需直徑的激光孔 。 由于金箔的不規則性和與汽化過程相關的特定偏差 ,金箔可能會略微偏離預期的直徑 ,并且可能不是完全的圓形 。此外 ,金箔的厚度可能偏離指示值 ,主要是由于蒸汽化輪廓的微小變化。 金箔直徑從0.08 mm增加到2.0 mm 。直徑公差為±0.005um(平均± 2SD) 。 模體包含16個直徑的優化厚度。對于2.0mm的直徑 ,金箔厚度在0012μm和0. 105μm 之間變化 。對于0.08mm的直徑 ,金箔的厚度在
0. 590μm和2.800μm之間變化(表A.2)。 這些厚度經過優化 ,可以增加可用于擬合心理測量曲線的盤子的數量 。厚度公差為士 3%(平均值士2SD)。 模體被分為四個塊 ,用于生產目的和檢查 ,并創建參考盤所需的空間 。這些參考盤被放置在側面和方塊之間 ,并由CDCOM讀出軟件用來準確地定位金盤的位置。 每個正方形包含兩個相同的磁盤 ,一個在中心 ,另一個在一個隨機選擇的角落, 以允許驗證對每個物體的檢測 。容易記憶的模式已經避免為人類圖像讀出。

4. PMMA模體蓋
模體蓋子由一個5mm厚的PMMA板組成 。在 2mm深度的空腔一直研磨, 以容納鋁基和金箔 。在標準的PMMA曝光條件下 ,3 mm PMMA
( 3 mm PMMA +鋁) 的PMMA 等效厚度為10 mm。 在PMMA蓋和鋁基座之間放置了一個透明的X射線對比漆的絲網印刷, 顯示了一個 網格, 圓盤厚度和金箔直徑 。 因此 ,X射線圖像將顯示一些排列成21列和16行的正方形, 其中圓盤直徑顯示在大多數列的上面 。 網格不旋轉, 以更有效地利用模體區域 ,并盡量 減少腳跟效應對CD曲線的影響。

5. PMMA板
乳腺模體提供了4個PMMA板 ,用于模擬不同的乳房厚度 。每個板的厚度為10mm, 否則與模體的尺寸相同。

6. 吸收特性
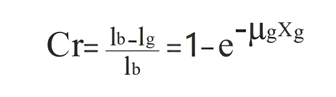
在標準的乳房X光照射條件下( mo陽極, 30μmMo過濾 ,28 kV ) ,模體的PMMA 等效厚度為10 mm 。當添加四個PMMA板時 ,這些條件將導致約0.65 mm HVL的HVL。 根據表A. 1 ,這表明有效能量約為19 keV 。金的線性衰減系數 g = 175 mm-1在這個能量下。 表 A. 1 鋁的質量衰減系數/p和HVL的單色輻射的能量

金箔的輻射對比度計算公式:

表 A. 2 每行模型中金圓盤的厚度[μm]和直徑 (?)[mm]。

7. 模體的使用指南 為了制作X射線圖像 ,乳腺模體應該放置在胸側圓盤厚度最薄的腫塊上, 并與一個 或多個PMMA板結合。對于與自動讀出軟件一起使用 ,CDCOM只使用PMMA 板 ,沒有任何標記。

上一篇:CRDR13型綜合模體
下一篇:乳腺X攝影對比度細節模體





